
北京期间2026年4月8日23时,外洋学术期刊《当然》(Nature)在线发表了中国林业科学相关院热带林业相关所许涵相关员,统一好意思国普林斯顿大学和史密森热带相关所Matteo Detto,以及中山大学方素琴副西宾等相助完成的题为《竞争与促进对群众树木万般性的首要性》(The importance of competition and facilitation for global tree diversity)的相关效果。
这一相关初度系统揭示了群众法子物种邻体正相互作用和负相互作用对物种万般性纬度样式的相对孝顺,过火对塑造群众丛林树木万般秉性局中的首要性。至极是发现了热带地区的丛林万般性是由于存在更多促进相互作用而获取增强,这少许此前未被充分意志。该论断扶助“可在丛林瞎想中加多成心于邻体共存的物种数目比例”的不雅点,举例豆科树木、非丛枝菌根类树种和一些大径级上风树种,从而提高丛林群落万般性和踏实性,成心于指令退化丛林生态诞生或造林中成心要津类群的补植矫正。
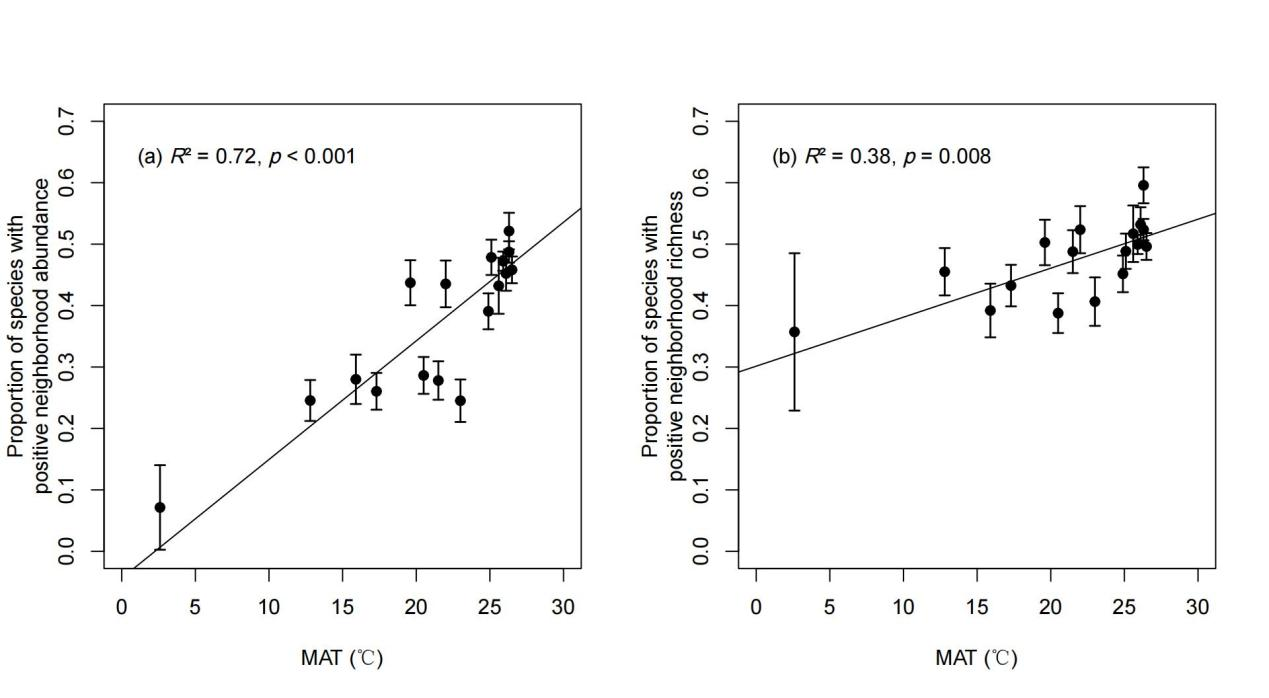
相关东谈主员运用来自17个大型丛林样地的数据,这些样地涵盖了从南纬5°至北纬47°的地区(亚洲、北好意思洲、南好意思洲、大洋洲、非洲,图1),包含约270万棵树和5400多个物种。在商酌3个生物因子和8个环境因子后,量化相邻树种间负向(竞争性)和正向(促进性)相互作用相对首要性随纬度的变化趋势(图2),相关了在零模子下,每个瞎想物种个体周围的平均邻体物种万般性是大于依然小于预期值。赶走标明,在大多半样地中,负种间相互作用占主导地位。在赤谈隔邻,被低于预期或高于预期数目的邻体包围的物种数的相对比例梗概十分,但在较高纬度地区,邻体数目相对较高的物种数比例下落,而邻体数目较少的物种数比例权臣加多(图3)。这种纬度风光部分归因于豆科植物、非丛枝菌根共生物种丰采的减少(图4)以及高纬度地区树冠扶养效应的减轻,况且受到年平均温度的改造(图5)。
这些发现揭示了之前未被意志到的促进相互作用随纬度加多而相对减少,以及竞争相互作用随纬度加多而相对加多的情景,并标明温度升高可能会增强促进效应,促进高纬度地区树木群落的万般性普及。
在热带丛林中,亚搏app各类各样的物种若何踏实共存在一齐,从而酿成高物种万般性群落,一直以来皆是生态学家高度关心的热门问题。很多假说被赓续提议,用来讲明热带丛林为什么比较其他高纬度丛林具有更高的物种万般性,举例:特化天敌假说、物种漫衍限制的地舆戒指、空间环境异质性、情景踏实性假说、竞争戒指假说,以及坐褥力-捕食关系中的物种相互作用等。但这些假说因不毛一致的表面讲明,仍存在争议。尽管如斯,诸多假说皆指向一个合伙的定论:一个地区的植物物种万般性是局域、区域和进化生态进程相互作用的居品,而且局域进程(举例邻体竞争或促进对物种万般性的影响)在构建土产货群落物种库方面可能与进化和区域进程同等首要,但其对物种万般性纬度梯度样式的影响仍不毛一致性意志和机制性认知。
中国林业科学相关院热带林业相关所许涵相关员为论文的第一作家和共同通信作家,好意思国普林斯顿大学和史密森热带相关所Matteo Detto为论文共同第一作家,中山大学方素琴副西宾为论文终末共同通信作家。此外,还有其他31名共同作家,分辨来自得众29个单元。论文作家中,共有14名中国粹者、20名异邦粹者。
该论文是基于海南热带丛林60公顷大样地多年积蓄和开展捏续外洋相助相关的效果,获取国度基金(U22A20449、U23A20156)以及中国林业科学相关院基本科研业务费专项资金(CAFYBB2017ZE001)等的共同资助。60公顷大样地确立之初,也获取了中国林业科学相关院基本科研业务费专项资金(RITFYWZX200902、CAFYBB2011004、CAFYBB2017QC003)、国度林业局林业公益性行业科研专项经费(201104057),以及科技部海南尖峰岭丛林生态系统国度级生态定位不雅测相关站运转经费等的资助。
中国林业科学相关院关系清晰东谈主暗示,将加大对丛林监测大样地等永恒监测相关责任和特点覆按瞎想等的踏实资助力度,加强基础表面科学相关,培植领军东谈主才和优秀科研团队,以更好地就业于我国林业生态文静建设。

图1 群众17个丛林大样地漫衍

图2 4个典型样地物种多度与相对邻体多度和相对邻体丰富度之间的关系

图3 在群众17个丛林大样地中,促进物种数目比例随纬度升高而缩小。基于(a)物种多度和(b)物种丰富度,评估促进物种对邻体物种的相对影响。

图4 分辨摒除豆科物种和非丛枝菌根树种后,17个丛林样地相对邻体相互作用与纬度之间关系关系的斜率变化。(a)基于物种多度的邻体相互作用(b)基于物种丰富度的邻体相互作用

图5 17个丛林样地中具有正(a)邻体物种多度和(b)邻体物种丰富度的物种比例跟着年平均温度变化的关系
(光明日报全媒体记者 张胜 通信员 姜清彬 陈洁)
凤凰彩票(welcome)APP官网下载
备案号: